题目解析
给定一棵树 以及m个送餐地点
求出前 i 次的送 i 餐的最短距离总和是多少
(注: 每次送的时候外卖都是拿好的, 所以只需要求出每次最短送餐距离)
也就是我们一共要送m个外卖,一次一次来。
假设每次为 i (也就是 i=1 送前1个外卖, i = 2 送前两个外卖,以此类推)
问外卖员送前 i 个外卖最少要走几段
解题思路
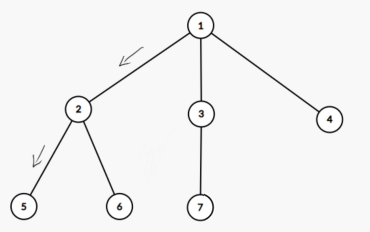
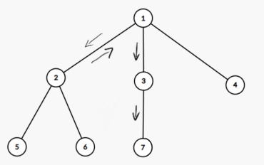
给个样例解释吧
样例的情况可以是这样走的
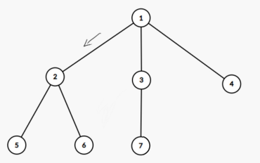
到 5

顺序 1 > 2 > 5
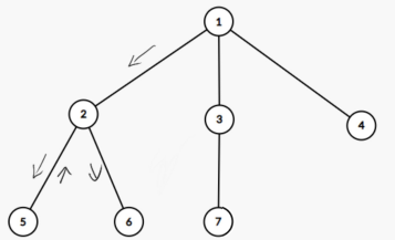
到 5、6

顺序 1 > 2 > 5 > 2 > 6
也可以是 1 > 2 > 6 > 2 > 5
到 5、6、2

顺序 1 > 2 > 5 > 2 > 6
也可以是 1 > 2 > 6 > 2 > 5
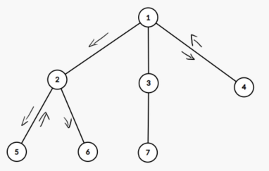
到 5、6、2、4

顺序 1 > 4 > 1 > 2 > 5 > 2 > 6
也可以是 1 > 4 > 1 > 2 > 6 > 2 > 5
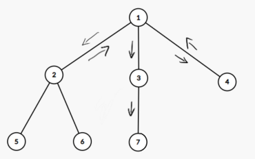
再给一个样例
样例输入
7 3
-1 1 1 1 2 2 3
2
7
4
样例输出
1
4
6
到 2

顺序 1 > 2
到 2、7

顺序 1 > 2 > 1 > 3 > 7
到 2、7、4

顺序 1 > 2 > 1 > 4 > 1 > 3 > 7
也可以是 1 > 4 > 1 > 2 > 1 > 3 > 7
直接看 i = 3 的情况, 如果先走到 4 然后再走到 7 的话,那么就是 6 步, 否则无论怎么走都是 7 步
可以再试着多画几个,可以推出,无论当前怎么走,只要是最后一段是走到距离根节点最远的那个节点就是最优解(如果有多个最远的相同节点,那么任选一个即可)。
有两种做法
1
可以先算出所有节点到根节点的距离
然后每一次去加上送餐点的时候
求出到最远的节点的距离 和 送完之后有多少条边
每次答案 = 边 * 2 - 到最远的节点的距离
2
每次dfs去看当前到达这个送餐点的时候 会增加多少条边
顺带着求出 根节点到最远节点的距离
每次答案 = 边 * 2 - 到最远的节点的距离
注: 两种方法c++都可以直接过 但是java 莫名其妙的答案错误了
代码
1
import java.io.*;
import java.math.*;
import java.util.*;
public class Main
{
static int N = (int) 1e5, M = N << 1;
static int h[] = new int[N + 10], shu[] = new int[M + 10], ne[] = new int[M + 10], idx = 1;
static int d[] = new int[N + 10];
static void add(int a, int b)
{
shu[idx] = b;
ne[idx] = h[a];
h[a] = idx++;
}
static void dfs(int u)
{
for (int i = h[u]; i != 0; i = ne[i])
{
int j = shu[i];
d[j] = d[u] + 1;
dfs(j);
}
}
public static void main(String[] args)
{
int n = sc.nextInt(), m = sc.nextInt();
int fa[] = new int[n + 10];
int root = 0;
for (int i = 1; i <= n; i++)
{
fa[i] = sc.nextInt();
if (fa[i] == -1)
root = i;
else
add(fa[i], i);
}
dfs(root);
int ans = 0, max = 0;
boolean vis[] = new boolean[n + 10];
while (m-- > 0)
{
int x = sc.nextInt();
max = Math.max(max, d[x]);
while (x != root && !vis[x])
{
vis[x] = true;
x = fa[x];
ans++;
}
out.println(ans * 2 - max);
}
out.flush();
out.close();
}
static Scanner sc = new Scanner(System.in);
static PrintWriter out = new PrintWriter(System.out);
}
c++
#include <cstdio>
#include <algorithm>
using namespace std;
const int N = 1e5, M = N << 1;
int h[N + 10], shu[M + 10], ne[M + 10], idx = 1;
int fa[N + 10];
int d[N + 10];
bool vis[N + 10];
void add(int a, int b)
{
shu[idx] = b;
ne[idx] = h[a];
h[a] = idx++;
}
void dfs(int u)
{
for (int i = h[u]; i != 0; i = ne[i])
{
int j = shu[i];
d[j] = d[u] + 1;
dfs(j);
}
}
int main()
{
int n, m; scanf("%d%d", &n, &m);
int root = 0;
for (int i = 1; i <= n; i++)
{
scanf("%d", &fa[i]);
if (fa[i] == -1)
root = i;
else
add(fa[i], i);
}
dfs(root);
int ans = 0, mx = 0;
while (m-- > 0)
{
int x; scanf("%d", &x);
mx = max(mx, d[x]);
while (x != root && !vis[x])
{
vis[x] = true;
x = fa[x];
ans++;
}
printf("%d\n", ans * 2 - mx);
}
return 0;
}
2
很奇怪c++能过 但是java错第四个
import java.io.*;
import java.math.*;
import java.util.*;
public class Main
{
static int N = (int) 1e5;
static int fa[] = new int[N + 10];
static int d[] = new int[N + 10];
static int root = 0, max = 0;
static int dfs(int u, int depth)
{
if (u == root || d[u] != 0)
{
max = Math.max(max, d[u] + depth);
return depth * 2;
}
int p = dfs(fa[u], depth + 1);
d[u] = d[fa[u]] + 1;
return p;
}
public static void main(String[] args)
{
int n = sc.nextInt(), m = sc.nextInt();
for (int i = 1; i <= n; i++)
{
fa[i] = sc.nextInt();
if (fa[i] == -1)
root = i;
}
int ans = 0;
while (m-- > 0)
{
int x = sc.nextInt();
ans += dfs(x, 0);
out.println(ans - max);
}
out.flush();
out.close();
}
static Scanner sc = new Scanner(System.in);
static PrintWriter out = new PrintWriter(System.out);
}
c++
#include <cstdio>
#include <algorithm>
using namespace std;
const int N = 1e5;
int fa[N + 10];
int d[N + 10];
int root = 0, mx = 0;
int dfs(int u, int depth)
{
if (u == root || d[u] != 0)
{
mx = max(mx, d[u] + depth);
return depth * 2;
}
int p = dfs(fa[u], depth + 1);
d[u] = d[fa[u]] + 1;
return p;
}
int main()
{
int n, m; scanf("%d%d", &n, &m);
for (int i = 1; i <= n; i++)
{
scanf("%d", &fa[i]);
if (fa[i] == -1)
root = i;
}
int ans = 0;
while (m-- > 0)
{
int x; scanf("%d", &x);
ans += dfs(x, 0);
printf("%d\n", ans - mx);
}
return 0;
}